The Cosine Rule and the Quadratic Formula
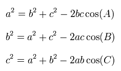
In trigonometry, the Cosine Rule (also known as Law of Cosine) relates the lengths of the sides of a triangle to the cosine of one of its angles. The following are three versions of the Cosine Formula. The easiest of course to remember is the last one since it looks like the Pythagorean Formula. The Cosine rule in fact is a generalized formula for non-right triangles. I will present the proof in another post.
The type of problem we are given to apply the Cosine Rule (aka Law of Cosine) is usually of the type where two sides are known and the angle opposite the unknown side is also known. The problem below is an example of this type. All you need to do is to plugin the values to the formula above.
How about for the problem where for the side opposite the unknown angle is also unknown, given that you know the other two sides and one angle? This is sometimes called the ambiguous case. This case is illustrated in the following problem:
You definitely cannot use the “b2 =” version of the formula because you do not know cos B. So how should we figure this out. Let’s try the “c2 =” version:
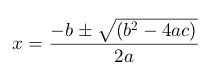
Does the last transformation looks familiar to you? Do you see the quadratic ax2 +bx+c=0 in the last equation? The last equation is actually a quadratic ‘in disguise’. This means that you can solve for b using the quadratic formula:
You have to be careful with the substitution. The quadratic formula and cosine rule are using the symbols a, b, and c differently. The x in the quadratic formula corresponds to b in the cosine formula. The c in the quadratic formula corresponds to (a2 – c2) in the cosine rule. The value of a is 1. Your solution then should have this substitution:
You may be interested to know how to solve quadratic equations by completing the square (with visuals).


There’s a small typo in the last formula. It should be 2a cos C instead of – 2a cos C and vice versa inside the square root sign
Thank you. Will fix it.